اقای رزمگیر یه سوال داشتم ازتون. ممنون میشم اگه جواب بدید
دو بردار که نه هم جهت نه خلاف جهت و نه عمود برهم هستن چجوری برایندشون بدست میاد؟
حل :
درسته جمع دو بردار که همجهت و یا خلاف جهت و یا عمود بر هم هستند خیلی گلابیه!
همونطور که دیده میشه برای دو بردار همجهت اندازه هاشون رو با هم جمع می کنیم و بری دو بردار خلاف جهت، اندازه هاشون رو از هم کم می کنیم.
وقتی هم که عمود بر هم باشند از فیثاغورث استفاده می کنیم
اما در حالت کلی که دو بردار هیچ یک از این حالتها را نداشته باشند چی؟
جواب سادست :
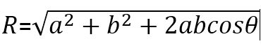
فرض کنید دو بردار با اندازه های a و b داریم که با هم زاویه تتا می سازند
اندازه برآیند این دو بردار در حالت کلی از رابطه زیر به دست میاد :
کافیه اندازه دو بردار و زاویه بینشون رو داشته باشین
* حالتهای ساده بردار های همجهت و خلاف جهت و عمود بر هم نیز از همین رابطه به دست میان
در حقیقت این فرمول مادر تمامه اوناست!

ولی یه چیزی ... از نظر املایی.. *فیثاغورث* درسته آیا؟ به نظر شما؟